臭氧發生器濃度g/m3與g/Nm3的區別
254納米波長的紫外線輻射(汞線)非常適合測量空氣、氧氣或水中臭氧的密度,因為臭氧的消光光譜在254納米附近有很強的波段。
1. g/m3實測密度
紫外線光度計實際上并不能“看到”空氣、氧氣或水。254nm的紫外線輻射只有在試管中存在的臭氧才能被部分吸收或減弱。因此,紫外光度計測量的密度[g/m3](測量密度),臭氧具有在任意溫度和任意壓力在試管內。由于臭氧是氣體混合物的一部分,所以只要不知道小管中氣體混合物的溫度和壓力,這種測量的密度就毫無價值。因此,臭氧分析儀(用于氣態臭氧)必須具有額外測量試管內溫度和壓力的手段。對于水中的臭氧,這是不必要的,因為水的密度(用于工業臭氧在水中的應用)實際上不隨溫度和壓力而變化。
用來描述臭氧氣體中臭氧含量的幾種不同的“濃度”現在可以用測量的臭氧密度[g/m3]來計算,溫度和壓力也可以用紫外光度計的試管來測量。
2. g/Nm3補償密度
在試管中測量的臭氧密度[g/m3]可以對溫度和壓力進行補償,以便顯示在給定的標準溫度和標準壓力下一立方米臭氧氣體中存在的臭氧質量。國際上公認的標準壓力為Po= 1atm (760 mmHg,1.01325 bar)。但標準溫度是中世紀的混亂。一些人建議0攝氏度(32華氏度),另一些人則聲稱
15℃(59華氏度),20℃(68華氏度),或21.11℃(70華氏度),甚至25℃(77華氏度)。為了避免這種混亂,SEMI標準E12-96決定(對于半導體工業)僅使用0℃(273.15K)作為標準溫度。0℃/ 1atm的標準條件稱為“國際標準條件”。在BMT MESSTECHNIK制造的所有臭氧測量儀器中,補償計算符合這些國際標準條件to =273.15K/Po=1atm。
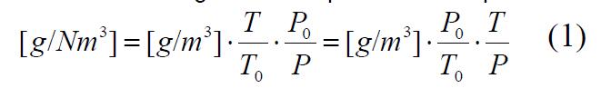
設試管中測得的(絕對)溫度和(絕對)壓力分別為T和P。
現在通過乘以T/To和Po/P來補償試管中測量的臭氧密度[g/m3]。補償臭氧密度通常以g/Nm3(克/“正常”立方米)表示。
這個量現在是臭氧氣體的一種特殊性質,它不隨溫度和壓力而變化:
